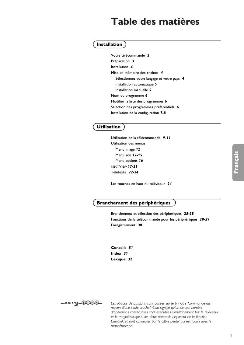
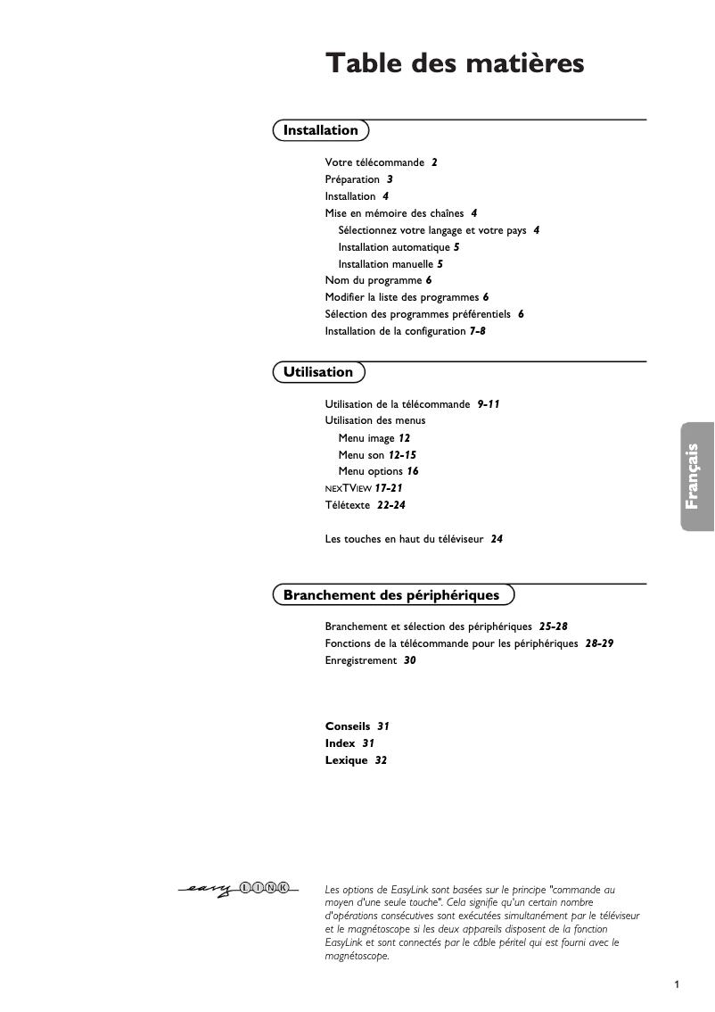
Caractéristiques
| Marque | Philips |
| Modèle | 32PW9505 |
| Catégorie | Télévision et multimédia |
| Type de produit | Téléviseur |
| Nombre de pages | 32 Pages |
| Type de fichier |
Page
/ 32